(一)初始模量
初始模量是指纤维负荷一伸长曲线上起始一段(纤维基本伸直后拉伸的一段)较直部分伸直延长线上应力应变之比。如图1—2所示,在曲线起始较直部分的宜线上延至和断裂点水平线相交于e点,过e点作横坐标的垂线相交于Le点,根据Pa、Le和该纤维的线密度Tt和试样长度L(即强力机上下夹持器间的距离,mm),可求得初始模量E,单位为N/tex。


初始模量的大小表示纤维在小负荷作用下变形的难易程度,它反映了纤维的刚性。初始模量大,表示纤维在小负荷作用下不易变形,刚性较好,其制品也比较挺括;反之,初始模量小,表示纤维在小负荷作用下容易变形,刚性较差,其制品比较软。几种常见纤维的初始模量见表1—5。

表1—5中,涤纶的初始模量高,湿态时几乎与干态相同,所以涤纶织物挺括,而且免烫性能好。富强纤维初始模量干态时也较高,但湿态时下降较多,所以免烫性能差。锦纶初始模量低,所以织物较软,没有身骨。羊毛的初始模量比较低,故具有柔软的手感;棉的初始模量较高,而麻纤维更高,所以具有手感硬的特征。
(二)纤维柔顺性系数
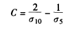
在英、美国家经常用到纤维柔顺性系数c这个指标,其公式如下:


c=0,说明拉伸曲线是直线形的,这时往往柔顺性差,要结合初始模量方可正确判定;对于某些纤维,如聚酰胺纤维,c<0,说明拉伸曲线是下凹形的,柔顺性好;若c>0,说明拉伸曲线是上凸形的,柔顺性较差,但可塑性能较好。c值越高,可塑性越大。
AAAZXCASFWEFERH 版权声明
本文仅代表作者观点,不代表本站立场。
发布的有些文章部分内容来源于互联网。如有侵权,请联系我们,我们会尽快删除。
- 上一篇: 童装面料知识大全
- 下一篇: 新型高科技服装面料有哪些





发表评论