如果纤维须条的一端被控持住,另一端绕自身轴线回转,即可形成纱线,这一过程,称为加捻。对短纤维纱来说,加捻是纱线获得强力及其他特性的必要手段。对长丝纱和服线来说,加捻可形成一个不易被横向外力所破坏的紧密结构。加捻还可形成变形丝及花式线。加捻的多少及加捻方向不仅影响织物的手感和外观,还影响织物的内在质量。
表示纱线加捻程度的指标有捻度、捻回角、捻幅和捻系数。表示加捻方向的指标是捻向。
(一)捻度
单位长度的纱线所具有的捻回数称为捻度。纱线的两个截面产生一个360°的角位移,称为一个捻回,即通常所说的转一圈。捻度的单位随纱线的线密度不同而不同,特克斯制捻度Ttex的单位为捻/10cm,通常习惯用于棉型纱线;公制支数制捻度Tm的单位为捻/m,通常用来表示精梳毛纱及化学纤维长丝的加捻程度。粗梳毛纱的加捻程度既可用特克斯制捻度,也可用公制支数制捻度来表示。英制文数制捻度Te的单位为捻/英寸。
(二)捻回角
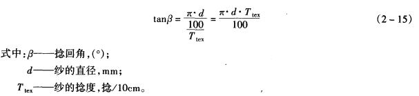
加捻前,纱线中纤维相互平行,加捻后,纤维发生了倾斜。纱线加捻程度越大,纤维倾斜就越大,因此,可以用纤维在纱线中倾斜角——捻回角β来表示加捻程度。捻回角β是指表层纤维与纱轴的夹角,如图2—10所示,由式(2—15)计算。

捻回角β可用来表示不同粗细纱线的加捻程度。两根捻度相同的纱线,由于粗细不同,加捻程度是不同的,粗的纤维加捻程度较大,捻回角β亦较大。捻回角直接测量需用显微镜,使用目镜相物镜测微尺来测量,既不方便又不易测难确,所以实际中需要时用式(2—15)计算。

版权声明
本文仅代表作者观点,不代表本站立场。
发布的有些文章部分内容来源于互联网。如有侵权,请联系我们,我们会尽快删除。
- 上一篇: 纱线加捻指标及其计算-捻幅和捻系数
- 下一篇: 对纱线断裂伸长的影响





发表评论