经、纬纱在织物中相互屈曲,其屈曲的程度可以用屈曲波高来描述。经、纬纱在织物中屈曲状态如同波纹一样,假设以纱的中心线为代表,我们可以得到一条波纹状曲线。这条波纹曲线的波峰到波谷之间的高度差称为屈曲波高。如图4—4所示,hj,为经纱屈曲波高,hw为纬纱屈曲波高。

由于经、纬纱在织物中是相互紧密连接的,因此,一个方向的纱线如果伸直一些,另一个方向的纱线就必然要多屈曲一些。换言之,一个方向纱线屈曲波高减小一些,另一个方向纱线的屈曲波高就要增大一些。可见,经、纬纱屈曲波高之间是相互关联的。再进一步说,如果一个方向的纱线完全伸直,另一个方向的纱线就会达到大的屈曲波高。图4—5(a)所示为经纱呈完全伸直状态,而纬纱具有大的屈曲;图4—5(c)所示为纬纱呈完全伸直状态,而经纱具有大的屈曲。这两种结构状态为织物中经、纬纱相互配置关系的极端状态,在实际织物中是不存在的。实际上各种织物的几何结构必定处于达两种极端状态之间,如图4—5(b)所示。
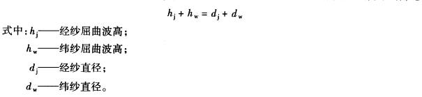
根据经纬纱屈曲波高之间的这种变化关系,经研究,得到一条重要规律:织物中经、纬纱屈曲波高之和始终保持为一常数,且恒等于经、纬纱直径之和。这是织物几何结构中的一项重要性质,即


版权声明
本文仅代表作者观点,不代表本站立场。
发布的有些文章部分内容来源于互联网。如有侵权,请联系我们,我们会尽快删除。
- 上一篇: 唐山:2022年意向植棉面积或将提升增5.4%
- 下一篇: 织物几何结构





发表评论