织物经纬密度的大小和经纬密度之间的相对关系是影响织物结构主要的因素之一,它直接影响到织物的风格和物理机械性能。显然,经纬纱密度大,织物就显得紧密、厚实、硬挺、耐磨、坚牢;密度小,则织物稀薄、松软、透通性好。而经密与纬密之间的比值,对织物性能影响也很大,一般来说,织物中密度大的一方纱线屈曲程度大,织物表面即显现该方纱线的效应。此外,经纬密度的比值不同,则织物风格亦不同,如平布与府绸、斜纹、哔叽、华达呢和卡其等。
确定织物密度与紧度的方法很多,一般常用的有以下几种。
一、理论计算法
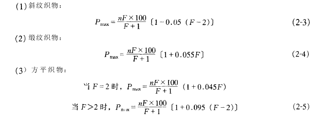
(一)紧度结构理论

该计算方法的缺点是没有考虑到整个织物的组织情况,即当织物的组织点平均浮长F相同,而织物组织不同时,该方法不能区别对待。如果将织物组织变化的因素考虑进去,可将上式修正得到以下各式。

根据该理论可以获得各种不同组织的织物大密度。各种不同组织之间的密度换算关系。









四、仿制法
该方法在色织物仿样设计时较常用。
(一)条型、格型的仿制
每筘经纱穿入数相等的产品
(1)对照法。这是一种简单的仿制方法,在仿样时,只要选择一块和产品的技术规格相同的成品布,将其置于被仿样品的旁边,取出样品 个花型循环,将此花型循环内的各色排列顺序分别和成品布对照,记下与各色条型、格型相对应的成品布的根数即可。
用这种方法仿制附样的条型、格型方法简单、准确,还可以不考虑产品在各加工过程中的加工系数,但一定要有符合规格要求的成品布,才能采用这种方法。
(2)比值法。这种仿制方法的具体步骤为:
①记下样品一花的排列顺序和各色的根数。
②分别求出样品的经密和产品经密(成品经密)的比值、样品的纬密和产品纬密的比值。
③比值与样品各色根数相乘之积即为产品一花的排列根数(如有小数应予以修正)。

将上述求出的比值与样品各色根数相乘之积即为样品的排列根数。
用比值法仿制条型、格型准确性好,要求格型方正的产品在修正排列根数时要考虑各色根数增减数量能满足格型方正的要求。
(3)测量推算法。纸板样和大格型的样品仿制时一般采用这种方法。仿制步骤为:
①量出样品一花内各色宽度,精确到1mm。
②将各色宽度乘以成品密度,求出各色根数。
③修正计算经、纬纱根数。
采用这种仿制方法测量要精确,否则就会影响仿样效果,同时在修正经、纬纱排列根数时,同样要考虑到产品格型的方正要求。








版权声明
本文仅代表作者观点,不代表本站立场。
发布的有些文章部分内容来源于互联网。如有侵权,请联系我们,我们会尽快删除。
- 上一篇: 春游踏青与碎花裙更配!
- 下一篇: 纱线设计





发表评论