城南二哥 第1295页
-
纤维细度与纺纱工艺的关系
纤维愈细,加工过程中愈容易扭结成结和折断成短纤维。清花、梳理处理不当时容易产生大量短纤维,在并条高速牵伸时也易形成大量纤维结。当选配纤维成分改变,纤维平均细度变细时,因细纤维的牵伸效率低,会使成品定量偏高。因纤维太细而在纺纱过程中引起的不利,必须在纺纱工艺生产中引起注意。 AAASDFERGTRHR...
-
棉纤织成熟度与成纱质量及纺纱工艺的关系
棉纤维的成熟度是指纤维胞壁加厚的程度和纤维中纤维素充满的程度。胞壁愈厚,纤维素淀积的愈多,成熟度愈高。成熟度与棉花品种、生长条件有关。棉纤维成熟度不同,纤维形态就不同。成熟度高,则中腔小、胞壁厚,腔宽与壁厚的比值小。 棉纤维的各项性能几乎都与成熟度有关。正常成熟的棉纤维,截面粗、强度高、弹性好、有丝光,并有较多的天然转曲,可产生较大的抱合力,成纱强度高。作为棉纺工业主要原料的棉纤维,其成熟度的高低在很大程度上还决定着纺纱工艺的设计和成品质量。通常认为成熟度高的棉纤维能经受工艺设备的打击,容易清除杂质,产生的棉...
-
医护服装面料有哪些?有什么特点
医护服装是指用于医疗卫生领域的一类防护服,常见的有护士穿的护士服,医生穿的大白褂以及在手术时医生穿的手术服其实都属于医护服,因此医护服属于有特殊功能需求(防辐射、防静电等)的服装,我们可以根据服装的面料将它分为两类,分别是天然面料和非天然面料两种。本文将会给大家介绍一下医护服的及其特点。医护服装是指用于医疗卫生领域的一类防护服,常见的有护士穿的护士服,医生穿的大白褂以及在手术时医生穿的手术服其实都属于医护服,因此医护服属于有特殊功能需求(防辐射、防静电等)的服装,我们可以根据服装的面料将它分为两类,分别是天然面料和...
-
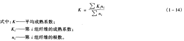
棉纤维成熟度的测定方法
棉纤维成熟度的测定方法较多,常用的有中腔胞壁对比法、偏光仪法等。 1.中腔胞壁对此法 中腔胞壁对比法是通过显微镜目测棉纤维的中腔宽度与胞壁厚度的比值,以平均成熟系数做指标来检测棉纤维成熟度的高低。其计算式如下: 根据需要还可以计算成熟系数的标准差、变异系数和未成熟纤维百分数(成熟系数在0.75及以下的纤维根数占测定纤维总根数的百分数)等指标。 2.偏光仪法 采用棉纤维偏光成熟度仪,根据棉纤维的双折射性质,应用光电方法测量偏振光透过棉纤维和检偏片后的光强度。由于光强度与棉纤维的成熟度相关,成熟度高光强度强,...
-
牛仔布面料都有哪几种
不论男生还是女士牛仔裤相信大家都非常熟悉了,破洞、直筒款式繁多,除了款式以外面料也是决定牛仔裤外观和品质的一个重要因素,牛仔裤的面料一般为牛仔布,今天就跟大家介绍一下牛仔布面料都有哪几种,希望看完文章后您对牛仔布有更深入的了解。一 按染色工艺分类套色牛仔布:在靛蓝的基础上在染上其他颜色。靛蓝牛仔布:靛蓝为主色调的牛仔布。彩条牛仔布:在靛蓝染色的经纱中染上其他颜色并有规律的交织。什色牛仔布:一般是经过硫化染料染成各类颜色的牛仔布。 二 按牛仔布布重分类按布重分类的话主要分为轻型中型和重型...
-
纤维强度与成纱质量及纺纱工艺的关系
纤维材料的机械性质是指纤维材料在受到机械作用时的力学性质,涉及的内容很多。这里仅简述纤维材料的强度、弹性、疲劳和摩擦抱合等主要的机械性质。 (一)纤维强度与成纱质量及纺纱工艺的关系 纤维在纺纱过程中要不断经受外力的作用,纤维具备一定的强度是纤维具有纺纱性能的必要条件之一。纤维强度是决定成纱强度的主要因素。在正常情况下,纤维强度大,则成 AAAVSGREHTRY45...
-
新型高科技服装面料有哪些
新型高科技服装面料是指经过特殊加工过程处理后制成的面料,这类面料因用途特殊,一般不会在我们的日常生活中用到,本文跟大家介绍一下新型高科技面料有哪些及其用途。超级水织物,雨衣虽然可以防水但不能排汗,为此研制出一种透湿面料,是利用超级水织物表面贴合孔径能让汗液透过而雨水不能透过这一特性,解决了雨衣不透汗的问题。阻燃面料,阻燃面料对火焰具有阻燃效果,是用阻燃纤维和阻燃剂加工而成的,常用于消防服,防护服以及工业服的生产。变色面料,变色面料会据光热等条件的改变而发生颜色变化的面料,在交通服,游泳衣方面的运用较为广泛。抗静电面...














