城南二哥 第1837页
-
棉纤维的形成结构和性能 棉纤维的形成
棉纤维是由胚珠(即将来的棉子)表皮壁上的细胞经过伸长和加厚而形成的。一个细胞长成一根纤维,即每根棉纤维是一个植物单细胞。纤维的一端着生于棉子表面,另一端成封闭状。 棉纤维与棉铃的发育同时进行。棉纤维的发育特点是先伸长,然后充实加厚细胞壁。整个棉纤维的形成过程,可以分为三个时期。 1.伸长期 棉纤维发育的前半期是伸长阶段,表现为纤维细胞壁的伸长和初生壁的形成。在开花之前,胚珠的表皮细胞表面相当平滑,在花冠开放、胚珠未受精前,胚珠的表皮细胞有多处隆起,这表示有些表皮细胞已经伸长,这些细胞就是纤维初生细胞。经过一昼夜,...
-
棉麻面料的优缺点有哪些?
棉麻混纺服装是这几年比较多人喜欢的服装,服装既有棉面料的舒适度,又有麻面料的透气性能,衣服穿上后给人整体感觉是时髦又舒适,即便棉麻面料非常流行但真正了解的人不多,就给大家大概介绍一下棉麻布料的优缺点及其特点。 棉麻的特点 棉麻面料顾名思义是将麻跟棉按一定的比例混纺制成的面料,因为纯棉织物舒适保暖但容易缩水和起皱,而麻织物的凉爽透气但弹性较弱,为了让服装同时具有麻与棉的特性,棉麻面料的概念也随之脱引而出。 棉麻布料的优点: 亚麻是麻面料中的主要代表,它的散热性高出羊毛4倍,比丝...
-
贵州织金:栽桑养蚕织丝绵 新兴产业促增收
冬季的织金县熊家场镇白马村,掩映在一片青山间,驱车沿着道路两边独具特色的民居前行,不一会儿养蚕基地便出现在记者的视野中。 近年来,白马村因桑蚕产业而闻名当地。然而几年前,村民还以传统农作物种植为主,如今利用党支部领办集体合作社的契机,该村在大力发展特色产业的新路上实现“逆袭”。 在村合作社的养蚕基地里,一间间...
-
棉纤维的形成结构和性能 棉纤维的结构
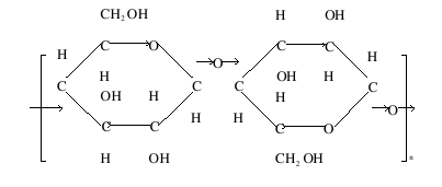
棉纤维的结构一般包括大分子结构、超分子结构和形态结构,前两者合称微观结构。棉纤维的特性基本上由这些结构决定,因此,了解棉纤维结构可为检验棉纤维品质提供理论基础。 1.大分子结构 棉纤维中含有纤维素、多缩戊糖、蛋白质、脂肪与蜡质、水溶性物质、灰分等多种化合物。棉纤维在生长过程中,其化学组成是不断变化的,见表1-2。 成熟的棉纤维大部分由纤维素组成,纤维素是一种碳水化合物,在棉花生长过程中由二氧化碳和水经光合作用而形成。纤维素由碳44.4%、氢6.2%、氧49.4%组成。分子式为(C8 H 10 O5 ) n ,大分...
-
什么是木浆纤维?木浆纤维面料有什么优缺点?
什么是木浆纤维?木浆纤维跟平常我们提到的植物纤维不太一样,它的主要原料是木浆,再从来的纤维中分离出来因此它是属于二次纤维,木浆纤维可以据树木的种类分为针叶木浆纤维和阔叶木浆纤维这两大类。 针叶木纤维的长和宽分别为2.5-4毫米和41-55微米之间,而阔叶木纤维的长度是1mm左右,宽度会更短是长度的60分之一。紧密的组织结构是针叶木纤维的特点,它的浆料品质非常好而而且含糖量较低,因此纤维不会粗心吸水润涨以及打浆困难的情况,阔叶木的组织比针叶木更加紧密但含于杂细胞,它的多戊糖含量高,纤维容易打浆。 ...
-
奥运腕表推荐|欧米茄海马系列“东京2020”腕表
欧米茄推出了奥运会纪念款腕表,向奥运会致敬。今天介绍的这款便是欧米茄海马系列“东京2020”腕表。这款腕表的表壳为42毫米,腕表由精钢制成,搭配蓝色陶瓷表圈和白色珐琅潜水刻度,白色陶瓷表盘经过抛光处理。蓝与白的设计元素贯穿整个奥运纪念款的主线,表盘上红色“Seamaster”(海马)字样更是为腕表增加了亮点。...
-
棉纤维的形成结构和性能 棉纤维的性能
纤维的性能是由纤维的内在结构决定的。纤维的性能和结构是同一事物的两个方面,纤维的结构决定其性能,而纤维的性能又是其结构对外界的反应。棉纤维是一种纺织原料,其性能包括物理性能、机械性能、化学性能等诸多方面,它们是决定棉纤维质量和纺织价值的重要因素。 (一)棉纤维的物理机械性能 棉纤维的物理性能主要包括吸湿性能、光学性能、电学性能、热学性能、密度等性能。 棉纤维的机械性能是指棉纤维在外力作用下呈现的内应力与变形的关系。主要表现为拉伸特性、抗弯抗扭性、摩擦与耐磨以及相应表现的强力、变形、弹性、耐疲劳性、刚性等。 1.强伸...
-
罗马棉面料优缺点有哪些?
什么是罗马棉面料:罗马棉面料是混纺而成的,它的混纺原料是弹力隐光纤维素跟天然精硫棉,是使用罗马的特殊的纺织工艺(弹力隐光技术)编织而成,但因加工成本较为昂贵所以罗马棉更多的被用于高档服装品牌或者奢侈品品牌。 罗马棉面料优点:因为使用了弹力技术,所以不论横向还是纵向,罗马棉的弹性都是很不错的,还有就是罗马棉的具有棉的吸湿性能,穿上用此面料制成的贴身衣物会非常舒适,除此之外罗马棉还有抗热及防辐射的性能。罗马棉织物的洗涤方式较为简单,因为的强度很高,所以水洗后它是不会起球的,这种棉的出现能够很好的解决棉布料易起...
-
盛泽:以绿色底色迎考环保督察
吴江高新区(盛泽镇)召开迎接省环保督察动员会。副区长、吴江高新区党工委书记、盛泽镇党委书记沈春荣,吴江高新区管委会主任、盛泽镇党委副书记、镇长徐惠林,吴江高新区管委会副主任、盛泽镇人大主席候选人吴伟红,各相关部门和各村(社区)负责人,各商会会长参加会议。 会上,镇综合执法局通报了迎接省环保督察的准备情况、薄弱环节和...
-
夏日王炸单品|阔腿裤清凉一夏
阔腿裤作为夏日火爆单品之一,以其遮肉显瘦的作用和自带气场的特性征服了不少人。 如何选择合适的阔腿裤?选择阔腿裤的一个考虑就是因为舒适和显高,因为阔腿裤是比较宽松,所以会显得比较舒适,也不会像紧身牛仔裤之类的那么炎热。 选对版型非常重要!宽松的裤筒是阔腿裤的特性,但不要为了追求的遮肉需求,而去尝试过于宽大的裤筒,驾驭难度系数高,一不小心就容易优势变劣势!下半身的横向线条拉宽,拖沓又显胖!...













