城南二哥 第1344页
-
经纬同支持面紧密织物的紧度与紧密率
1.紧密结构织物 织物紧度的讨论主要是在只考虑经、纬纱的投影面积,而不考虑经、纬纱交错的情况下给出的,因此,严格来说,尚不能真正代表织物中经、纬纱交织下排列的紧密程度。因为经、纬纱的相互交错妨碍了经纱或纬纱之间的相互靠拢。例如,按照紧度的概念,任何织物的经向紧度均可达到100%。但是,如果考虑到经、纬纱之间的交错,那么,100%的经向紧度并非在任何结构相都可以达到,下面以图4—10中的例子进行比较说明。在这三个图中,以经纱为例,均已达到交织与排列的大紧密状态,即经纱之间再也无法靠拢了。但可以看出,它们的经向紧度...
-
国际纺联董事会视频会议提出 2022年重点做好“四件事”
11月17日,国际纺织制造商联合会(以下简称“国际纺联”)董事会视频会议在北京召开。国际纺联历任主席及董事会成员,中国纺织工业联合会相关职能部门负责人出席会议。国际纺联主席、中国纺联会长孙瑞哲主持会议。 尽管全球经济活动一直在稳步复苏,但前路依然艰难。全球供应链正在受到新冠肺炎疫情大流行、消费需求激增、劳动力短缺和...
-
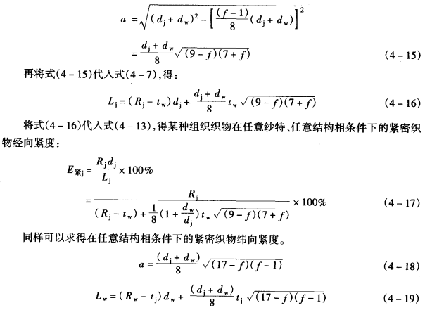
不同组织任意结构相织物的紧度与紧密率
现在研究不同组织在任意结构相条件下的紧密率。 将式(4—1)代入式(4—9)中可得: 可见,这种织物为经向紧密组织,而且纱线之间发生较多的挤压变形。 比较例1与例4还可以看出,即使是相同的经纬纱线密度、相同组织的织物,当结构相不同时,其紧密织物的紧度(经向与纬向)是不相同的,即织物的可密性是不同的。 AAAGHRTYJYITLUY...
-
常熟成立纺织服装行业党建联盟
昨天,常熟市纺织服装行业党建联盟成立。该联盟将通过党建共建,架起对话交流、信息互通、资源共享、优势互补的桥梁和平台,推动常熟纺织服装行业转型升级,创新发展。当天,波司登“活力先锋学院”揭牌。 今年,常熟将打造“354”产业“海棠堡垒”体系作为党建工作服务产业发展的重要载体。纺织服装作为常熟的三大支柱产业之一,是稳定...
-
织物的紧度与织物几何结构相的关系
规则组织紧密织物的紧度可根据规则织物紧度计算公式计算,计算结果与各结构相的hj/hw值列于表4-4(dj=dw=d)。 表4—4可画作图4—12,图中各组织相同的结构相的结构点连成等结构相线。 由表4—4和图4—12可以得出下列有关组织特性的概念。 (1)位于等支持面附近的结构相(第5相左右)以平纹组织的紧度小,在此情况下,平纹组织易使织物达到紧密的效应。 (2)在第9结构相和第1结构相中,缎纹组织织物的经(纬)向紧度小,在此情况下,缎纹组织易于使织物获得经(纬)支持面的效应。 (3)对于经支持面结构...
-
江苏省党代会代表刘燕:让“中国造”碳纤维打破国外垄断
11月22日下午,江苏省第十四次党代会召开前夕,来自全省各行各业的党代表从各地陆续抵达驻地,向大会报到。作为党代会代表,连云港鹰游纺机集团有限公司党委书记、工会主席刘燕在报到现场接受了记者采访。 “过去五年,我大的感受是创新改变了我们的生活。”刘燕告诉记者,她所在的企业是做纺织业机械装备、纺织品和碳纤维材料的,这几...
-
织物密度与紧度的设计
织物的经、纬密度的大小和经、纬密度之间的相对关系是影响织物结构主要的因素之一,它直接影响到织物的风格和物理机械性能。显然,经、纬纱密度大,织物就显得紧密、厚实、硬挺、耐磨、坚牢;经、纬纱密度小,则织物稀薄、松软、通透性好。而经密与纬密之间的比 值,对织物性能影响也很大,织物中密度大的一方纱线屈曲程度大,织物表面即显现该纱线的效应。此外,经、纬密度比值不同,织物风格亦不同,如平布与府绸、斜纹、哔叽、华达呢和卡其等。确定织物密度与紧度应根据织物的性能与风格来确定,如原料性质、纱线结构以及织物厚薄、组织、结构相等。...
-
青岛市跨境电商协会纺织服装分会换届授牌仪式成功举办
2021年11月5日下午,青岛市跨境电子商务协会纺织服装分会换届授牌仪式在哈尔滨路52号青岛莱斯玛特纺织有限公司举行。会长黄春玲、执行会长史立刚、副会长张海松、青岛富为国际贸易有限公司总经理孙方岩、青岛万青家居用品有限公司总经理朱子杰、秘书长陈寿发出席了本次大会。 会议开始,纺织服装分会任会长史立刚发表讲话。史总表...
-
聚焦共同富裕,看柯桥如何先行一“布”?1
开栏语: 共同富裕是“十四五”时期重大任务,随着《中共中央国务院关于支持浙江高质量发展建设共同富裕示范区的意见》发布,浙江大地率先开启探索建设共同富裕美好社会的序章。柯桥作为全国重要纺织产业基地,如何立足“产业+市场”优势,做好“共同富裕”这篇大文章尤为重要。对此,柯桥区牢记“领跑全市、竞跑全省”重要使命,全力打造...













